“Aranceles justicieros”: si Estados Unidos fue el país maltratado, ¿qué le queda al resto?
Desguace de los cálculos que usó la Administración Trump para imponer los gravámenes del 10% sobre las importaciones. ¿Cuál es la lógica impuesta? ¿Qué quiere lograr con la medida?
El presidente de los Estados Unidos protagonizó esta semana el mayor cambio en la política comercial en más de un siglo. El miércoles 2 de abril, en un discurso desde el Jardín de las Rosas de la Casa Blanca, Donald Trump declaró que la primera economía global impondría gravámenes del 10% sobre todas las importaciones, además de tasas “recíprocas” más altas —mucho más altas en algunos casos— para tomar represalias contra países que, en su opinión, han tratado injustamente a su país en los últimos años. Si Estados Unidos fue el país maltratado, ¿qué le queda al resto?
En el medio de su discurso decidió mostrar una tabla con dos columnas. La primera, indicaba cuáles son los aranceles que sufre Estados Unidos al exportar sus productos al mundo. En la segunda, cuáles son los aranceles que, como represalia, impondrá a cada uno de los países.
Al verlo, algo sonaba extraño. Por ejemplo, la Unión Europea marcaba un gravamen a los productos que entran a la Eurozona de 39%. Raro, considerando que el viejo continente tiene un arancel simple de 1,7% sobre el total de productos que ingresan y, ponderado por los productos que más importan desde Norteamérica, como mucho, podría alcanzar el 4,8%. Pero esa tabla aclaraba algo más: “Aranceles que pesan sobre Estados Unidos sumado a manipulación de la moneda y barreras paraarancelarias”.
Fue con esa aclaración que economistas prestigiosos a nivel global empezaron a hacer cuentas. ¿Estaría contando el IVA? En el caso de Europa, donde es cerca del 20%, tampoco se llegaba al 39% en cuestión. ¿Aplicarían alguna diferencia por el tipo de cambio? Parecía extraño, dado que el euro volvió a fortalecerse desde la baja de 2022, que dejó el dólar y el euro en 1 a 1. Nada era claro. Hasta que la Oficina del Representante de Comercio de Estados Unidos reveló un documento clarificando cómo habían llegado, país por país, a determinar los niveles arancelarios correspondientes. Es esta:

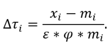
A quien le repele el álgebra, pueda pensar que esta fórmula parece sofisticada y que Estados Unidos viene planeando desde hace tiempo la transformación numérica de las barreras paraarancelarias, el impacto de los impuestos distorsivos, cambios de moneda, etc. Sin embargo, la fórmula dice lo siguiente (supongamos que i es algún país que no sea Estados Unidos):
Cenital no es gratis: lo banca su audiencia. Y ahora te toca a vos. En Cenital entendemos al periodismo como un servicio público. Por eso nuestras notas siempre estarán accesibles para todos. Pero investigar es caro y la parte más ardua del trabajo periodístico no se ve. Por eso le pedimos a quienes puedan que se sumen a nuestro círculo de Mejores amigos y nos permitan seguir creciendo. Si te gusta lo que hacemos, sumate vos también.
SumateΔτᵢ: Es el resultado de la barrera arancelaria que país i pone sobre Estados Unidos.
xᵢ: Es el total de exportaciones hacia el país i.
mᵢ: Es el total de importaciones desde el país i.
ε: Elasticidad de las importaciones respecto a los precios de importación. Es decir que si los precios de un bien suben mucho, las importaciones caerán y viceversa. Por eso da un valor negativo.
φ: Traslado de los aranceles a los precios de importación.
Aunque parezca broma, el valor de la elasticidad (ε) que se asume es -4, indicando que un aumento del 1% en los precios de importación reduce las importaciones en un 4%. Y para el caso del traslado a los precios (φ). Se establece en 0.25, sugiriendo que un arancel del 1% incrementa los precios de importación en un 0.25%. Entonces se multiplica 4 * 0,25%, que es igual a 1. Los términos se cancelan y no sirven de nada.
Esos mismos parámetros se utilizan para todos los países. La fórmula queda así:

Siguiendo el ejemplo con la Unión Europea y haciendo números redondos. Estados Unidos importó en 2024, 535.000 millones de dólares de la UE y le exportó 335.000 millones de dólares. Un déficit de 200.000 millones de dólares. Entonces, 200.000 millones de dólares dividido 535.000 millones de dólares da 38%. Muy cerca del 39% aplicado. La misma cuenta para todos los países. La lógica detrás de esto es: te impongo un arancel justo lo suficientemente alto para que las importaciones bajen hasta igualar las exportaciones. Una idea propia del mercantilismo, que tuvo su auge entre los siglos XVI y XVIII, cuyo objetivo era acumular oro por encima del resto de los países, considerando al comercio como un juego de suma cero.
El tema no termina ahí. La Oficina de Comercio de Estados Unidos citó un paper de Alberto Cavallo, sobrino de Domingo, para el cálculo de los aranceles recíprocos. Y el mismo autor salió a decir que fue mal citado y que de haber usado bien la data, el cálculo de aranceles debió ser 4 veces menor al que llegaron. Insólito.
Tener superávits o déficits comerciales bilaterales con distintos países es lo normal en un mundo globalizado. Para llevarlo a nuestro terreno diario, tiene sentido que yo tenga superávit con mi empleador (él me paga el sueldo), pero tenga déficit con mi peluquero (yo le pago por el corte de pelo). No tendría sentido que yo me ponga a trabajar para el peluquero para sanear esa diferencia. Lo mismo sucede con los países, hay razones por las cuales vendemos más a unos y compramos más de otros. Diferencias en los aranceles entre países pueden redistribuir los déficits y superávits entre ellos, pero no cambian necesariamente el déficit comercial total e incluso, mal asignados pueden generar mayores problemas para los consumidores.
Veamos el caso de un celular. El iPhone se ensambla principalmente en China, pero sus componentes provienen de muchos países, incluyendo Corea del Sur, Japón, Taiwán y Alemania. Cuando se imponen aranceles a las importaciones desde China, como los recientes aranceles del 34% anunciados por el gobierno de EE.UU., el costo de importar iPhones aumenta significativamente. Esto va a tener dos salidas: se aumenta considerablemente el precio a los consumidores o Apple reduce sus márgenes. De cualquier forma, las acciones de Apple cayeron 10% en tan solo un día.
Los primeros cálculos, determinan que, de continuar por este sendero, del que muchos analistas descreen que continúe tal cual está planteado, los aranceles volverían a niveles de 1933, según datos de Tax Foundation.

¿Cómo reaccionaron los mercados?
Todo bajó fuertemente, no solo en Estados Unidos, sino en el mundo, anticipando un período casi asegurado de recesión global, y una mayor inflación. De los 11.406 días de negociación transcurridos desde enero de 1980, sólo 29 tuvieron caídas mayores a las del 3 de abril de 2025, luego de los anuncios.
¿Qué dicen sobre Argentina?
El informe del Office of the United States Trade Representative (USTR) dedica tres páginas a la Argentina. Destaca que en 2023 tuvimos un arancel promedio aplicado de Nación Más Favorecida (NMF) de 13,4%, que consta de 10,3% para productos agrícolas y 13,8% para productos no agrícolas.
Critica las restricciones paraarancelarias de las importaciones de bienes usados, por ejemplo, maquinaria o equipos médicos, y la permanencia del cepo cambiario. Luego critica las SIRAS, aunque destacan su eliminación.
Por el lado de las barreras fitosanitarias, resalta que el mercado permanece cerrado para la importación de ganado en pie desde EE.UU. desde 2002 y que la apertura de 2018 fue muy leve.
Por último, menciona que Argentina sigue en la “Priority Watch List” del informe 301. Es decir que según el gobierno de Estados Unidos, existen serias deficiencias en la protección y el cumplimiento de los derechos de propiedad intelectual como: retrasos en la aprobación de patentes, problemas en la protección de datos de prueba para patentes farmacéuticas, la permanencia de productos falsificados como La Salada y barrio Once y, en general, un débil cumplimiento judicial.
Aunque parezca extraño, hay ciertos productos que se podrían ver beneficiados por todo esto. Por ejemplo, del total de vinos que se importan en Estados Unidos, un 70% lo hacen desde Europa… pero ¿qué pasa si pasa a ser más caro importarlos desde Europa que de Argentina? Puede abrirse un mercado.
Otro ejemplo es el de la soja. En 2018, tras el impacto de los aranceles de Estados Unidos a China, el país asiático decidió comprarle la soja a Brasil y Argentina antes que a Estados Unidos y eso llevó a que el valor de la soja fuera más alto exportado desde Sudamérica que desde el norte.
Aún no sabemos cómo termina esta película. El propio Javier Milei se reunirá en Mar-a-Lago para llevar adelante una negociación para lograr tener arancel de 0% para ese mercado en unos 50 productos argentinos.
¿Se trata entonces sólo de una estrategia de Trump para negociar? Quizás, pero parece haber ido demasiado lejos y con fundamentos muy poco claros.